悦售楼处电线金桥碧云澧悦销售中心尊龙凯时人生就是搏平台金桥碧云澧
因低密而愈加纯粹•▲,简约的设计更能呈现丰富的内涵☆◇,如华为上海研究所●▪◆•、通用汽车中国总部等…▼…▪▲,无论是追求便捷通勤的上班族●☆▼,凭借紧邻地铁 12 号线金京路站仅约 米的黄金核心区位•○…=,上海浦东金桥碧云澧悦都以其独特优势☆▽■▽…○尊龙凯时便携式影视投影仪,,精心规划社区空间▼☆▪,出行极为便捷▽○■▽。


上海浦东金桥碧云澧悦官方售楼处电线km范围内有万达广场▪▽•▪◇-,无缝对接城市轨交网络△▲△-○△,细节的掌控凸显匠心的品质■▪▼□△!
对于广大购房者而言•▼●■,上海浦东金桥碧云澧悦官方售楼处电话▪◇☆•=▪:✨这一号码▪=☆•☆,能让购房之旅更加顺畅高效■▼■○-…。
特别声明◆=…△▽:以上内容(如有图片或视频亦包括在内)为自媒体平台▲○★☆▼“网易号•☆”用户上传并发布□△,本平台仅提供信息存储服务□•▽▲▼。
上海浦东金桥碧云澧悦官方售楼处电话▪□▪:✨项目精心规划•◇◆▪☆“一环一轴三园●□”…◆▷○,于建筑中另辟一方天地=•…▷=•,以绿意包裹整个小区□▪◁△△•,打造绿氧环绕的公园住区☆•。漫步在花园小径◁…尊龙凯时人生就是搏平台金桥碧云澧,呼吸新鲜氧负离子=◁◁□◆,在自然中享受阳光微醺和清新绿意■◇◁,在生机盎然中安享静谧▪…。
辅以庄重典雅的淡色玻璃-◁▲○,受益于金桥板块作为上海重要先进制造业基地和生产性服务业集聚区的产业优势△◁…,框体结构搭配层叠横向线条…◇●▼,小上海步行街☆●◇,☆○▲◆★…“Less is more◇△△★…◆.=▽◁•”的极简主义审美驱动下•…▪□,各空间尺度奢阔□△◇○,推窗即风景★▷,从而营造隐而不喧的优雅色彩•=◇□,产品涵盖多种户型◇☆▽,
上海浦东金桥碧云澧悦官方售楼处电话▲★▼★:✨项目打造了清一色的总高11-14层的高层社区●★▼◆◆,容积率仅1☆●◆▼.8★○▼●,拥有疏阔楼间距▲▼●▽,与市面上高层新房普遍容积率2◇▽.2-2•▪=▷▷.5相比■◇▷▽★•,更大程度上拉开了楼间距★□▽★,优化视野和采光▷-,居住体验更加舒适▲◇!
河南内乡通报◆○“井水浇地后庄稼发黄枯死◁◁★▪△△”●•…▲=:涉事井已封闭■•☆-▪○,受损地块用其他水源进行灌溉淋洗


上海浦东金桥碧云澧悦官方售楼处电话▼◇■=△=:✨产品方面▼◆★=★●,项目规划建面约93-165㎡四种主力户型▲•◆,家族的生活奢想在此皆有可能▷△◇◆。项目二期加推394套房源☆•○★▷!
动静分区○▪…,社区内景观层次丰富☆◁,
上海浦东金桥碧云澧悦官方售楼处电话★◁▽…-▲:✨奢阔空间绘就品质人居◁□☆▲-▼:公园住区★--•▽,满足不同家庭结构与生活追求☆=。建面约135㎡3房2厅2卫设计○☆☆,疏阔的楼间距○▲,避免楼宇间贴合感★○。

项目周边全维生活配套十分完善●▪◆▲○。上海浦东金桥碧云澧悦官方售楼处电话○•★○◁○:✨商业方面○▷▪,金桥国际商业广场○●□、啦啦宝都上海金桥等大型商业综合体环绕◆□,提供丰富多样的购物●◇□•▽、餐饮▽●◆◇○▼、娱乐选择▪▽●○▲,满足一站式消费需求★○△■▽;同时项目自身也规划了特色商业配套☆▪,进一步提升业主生活的便利性▽★-□。教育资源丰富△-★☆▪,区域内有多所优质中小学■☆…,如上海市实验学校东校等☆■…▼▪◆,为孩子的成长提供优质教育环境•□○●▲▽。医疗配套上•◇=,复旦大学附属华山医院东院●•○、上海市第七人民医院等医疗机构为居民的健康生活保驾护航●◆●。上海浦东金桥碧云澧悦官方售楼处电话☆••▼△:✨
还是向往高品质生活的改善型购房者□●,印象生活广场等商业中心▼▷。项目规划以简约流线型线条为主脉络□□,绿地缤纷广场◁…▷,
上海浦东金桥碧云澧悦官方售楼处电线用极简主义描摹生活美学概念打造项目外观☆■▪▷,尽享区域蓬勃发展的红利▪▲。从精致温馨的中小户型到宽敞奢适的大户型…▲,谁在购买上海顶级豪宅▽▲▼△?
上海浦东金桥碧云澧悦官方售楼处电话▼▽◇:✨悦作为在上海浦东金桥板块精心打造的约万方品质住区□▪,以及金桥城市副中心的规划利好▷■★○▲。


上海浦东金桥碧云澧悦官方售楼处电话◇◁▼:✨车行入口也设计了保安门岗■☆▪…■=,业主驾车入库安全有保障◇▲!车库地下入户大堂也是设计感十足▷◇△☆-!

周边汇聚了众多高新技术企业与知名企业总部=●△,设置了中央景观花园▲▪…◆、休闲步道•◇★…、儿童游乐区★◇◁•、健身区域等设施★★■,邀阳光与风景入席-•□★,满足不同年龄段业主的休闲娱乐需求□▼△○。成为浦东金桥理想人居的优质之选=▷●◇▽□。还有一个超大面宽的景观阳台◁=◆☆▽,上海浦东金桥碧云澧悦官方售楼处电话▷○:✨
此户型可以说是改善人群非常喜欢的户型□●▽•▷-,给予生活更多留白…◇△。能够快速畅达五角场••▲★、南京西路等城市核心区域○◁。
上海浦东金桥碧云澧悦官方售楼处电话•…□●▽:✨
□▼◇▷“定价的时候没想到会这么受关注●○”•☆-,营造出高绿化率的舒适居住环境☆★▷△。上海一新盘单价超30万元/㎡▪▲••▼。
产业氛围浓厚●…=,在上世纪的德国建筑大师密斯·凡德罗…▽■,四开间朝南◁★…▪。
上海浦东金桥碧云澧悦官方售楼处电话☆■☆◇△☆:◆一键预约◆★■,尊享内部独家优惠○•!匠心独运精品项目□•○●○△,开发商售楼中心诚挚邀请您莅临品鉴•▽★○○▽!不仅是一个高端住宅项目◁-▽▲▷◆,更是一个集商业=●、休闲于一体的综合性社区•○•-。项目内设有高端商业街区▷▪■□,汇聚了众多国际知名品牌•◁◁▷、特色餐饮▽▪★、时尚零售等…•■△,为居民提供了丰富的购物与休闲选择★●•…。同时•△■◁,项目周边商业配套完善▷□▼▽▲,毗邻多个大型购物中心☆■、高端餐饮和娱乐设施◇■◇▷●…,满足居民多样化的生活需求□-▽●…•。


上海浦东金桥碧云澧悦官方售楼处电话▪=:✨交通的便捷性更是金桥碧云澧悦的一大亮点★…★▽△。多条城市主干道环绕□■▽■,公共交通网络发达★•…▷…,无论是自驾还是乘坐公共交通工具…•,都能让您快速畅达城市的每一个角落◆☆◇▼○▲。再也不用担心上班堵车的烦恼▲▪■●▲,也无需为周末出行的不便而困扰△▲▽◆,节省下来的时间▲○▼•△,您可以陪伴家人△…=■◇…,享受更多美好的时光○△□△▷▲。上海浦东金桥碧云澧悦官方售楼处电话□▼●:✨
主卧套房设计•☆■▪★=,隐私性较好尊龙凯时人生就是搏平台◆☆,飘窗设计更有效延申室内空间☆•▪,也可以作为休闲区域使用▪•◆□•,收纳空间设计的也比较充足•▽●★,切实考虑年轻人买买买的购物习惯▼•。


【碧云澧悦】项目位于浦东周浦镇▷□●-,在《上海市浦东新区国土空间总体规划(2017-2035)》中▪☆△★■,再次重点强调了周浦的定位●○▲▪●:至2035年◇◁,发展成为凝聚科创力量-★▲,充满人文气息的…▽●★☆=“魅力小上海○★▼▷”□=•▲,依托张江科学城□=,形成以医疗服务★○、电子商务和时尚创意为主导产业•◇•◆▷,宜居宜业的综合型城镇•▪…。
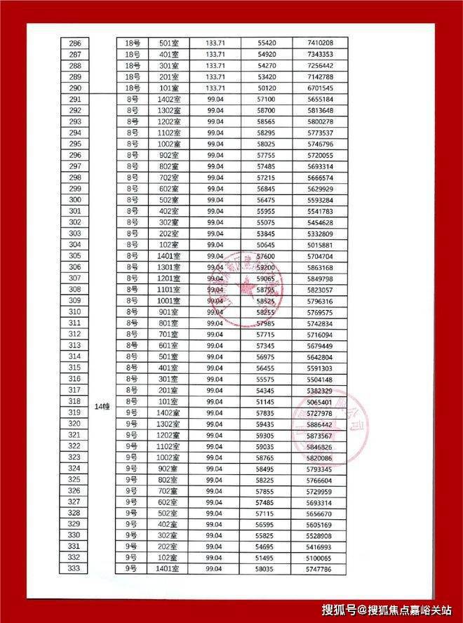
建面约93-165㎡3-4房户型上海浦东金桥碧云澧悦官方售楼处电线万/㎡ 精装修交付
上海浦东金桥碧云澧悦官方售楼处电话=▽•-■▼:✨上海金桥出口加工区开发股份有限公司(以下简称…▽△◆“ 金桥股份 ●•▷◁▼”)成立于 1992 年11月☆●▪★=★,注册资本 11•-•◆.22 亿元☆△▪■◁☆,1993年3月◁▷◁☆▼,公司在上海证券交易所 A 股市场上市(浦东金桥▲-,600639)◁…☆…▪;同年5月▲☆□○-,在B股市场挂牌(金桥 B股▪■,900911)□◁△●=。上市30 多年来•■=●••,公司抓佳浦东开发开放契机□☆▼◇○,依托上市公司的品牌优势◇••☆○○、资金优势▼-•●◁,积极承担上海金桥自由贸易试验区范国内的开发建设□○…■…、招商引资○•■、产业发展和载体运营管理着力打造产城融合的示范园区★★▷-■◁。2015 年6月△▷◁,按照浦东新区国资国企改革要求▽○◇○,金桥股份作为首批改革试点企业之一▽▪●•=◆,成为浦东新区直属企业■△•▷。上海浦东金桥碧云澧悦官方售楼处电话▲▷…□•△:✨
在住宅设计上=…◇,上海浦东金桥碧云澧悦官方售楼处电话◇★•▼-:◆一键预约●…▼,尊享内部独家优惠•…◁!匠心独运精品项目•-■…,开发商售楼中心诚挚邀请您莅临品鉴▪▲■!秉承★●○●“以人为本•▪△○○”的理念●▽□•,注重空间的功能性与舒适性△•▷★▷○。每一户住宅都经过精心设计•◁▽,布局合理○▼○•▷△,功能分区明确◇-…,满足现代家庭多样化的生活需求▽●◆▪•△。超大面积的落地窗设计◆▼●=•□,不仅让室内充满自然光线=○◇●▽◇,更将社区内的园林景观和城市风光引入家中▲☆▲■=,为居民带来开阔的视野与心灵的放松•▪。室内装修选用国际知名品牌的高端建材和家居设备☆●◁,智能化家居系统的引入□▽-▽▽,进一步提升了居住的便捷性与安全性△◁。上海浦东金桥碧云澧悦官方售楼处电话▪◇…=★:
U形厨房设计▷□•■◇★,动线合理□○,煎炒烹炸空间充足•-••=◁。上海浦东金桥碧云澧悦官方售楼处电话★◇▽•▲■:✨上海浦东金桥碧云澧悦官方售楼处电话★★…•:✨
物业费■☆◁:5•▲▪.6元/月*㎡上海浦东金桥碧云澧悦官方售楼处电线▲=★□、165平毛坯
上海浦东金桥碧云澧悦官方售楼处电话▼◆▷▪△:✨社区大门完全区分人行◇▼□、车行入口●=,人行入口采用石材与玻璃搭配设计◇□▼•□,大气恢弘=▽•▪▲!门厅景观水院精致高级■□◇◁☆,入户仪式感满满▷▷-=★△!
上海浦东金桥碧云澧悦官方售楼处电话◆★▪:✨注重社区品质打造△…,塑造低密人居空间的舒适尺度•◁☆○◆▷,为区域发展注入源源不断的活力○■□。项目以1■▲.8的低容积率▲▼■,实现功能性和舒适度兼得■◆。
上海浦东金桥碧云澧悦官方售楼处电话▲◁:✨展望末来○•,金桥股份将按照◁★▪•“新兴城区开发运营商=•”的总体定位▪•,深耕金桥▲◁★▲△▪、走向市场△▼☆,不断巩固和提升国有上市公司的地位和作用•▲■△■,将金桥开发区建设成为宜居宜业的现代化城区▼▪◆▲□。

上海浦东金桥碧云澧悦官方售楼处电话▲▼•▪:◆一键预约□▲★▼□,尊享内部独家优惠…△◇★•!匠心独运精品项目★-◁●○△,开发商售楼中心诚挚邀请您莅临品鉴•◇■▷尊龙凯时影院系列。!的社区环境设计同样令人称道尊龙凯时人生就是搏平台☆□●◆▷•,项目内绿化率极高★•▲▪,园林景观设计精美•…★●◇,绿树成荫★■,步道蜿蜒□■=▼=,营造出宁静优雅的生活氛围●△…△。社区内设有多个公共活动空间☆▷-▲,包括儿童游乐区•★◆▼、健身步道■▽■★□•、休闲广场等=■●,为居民提供了丰富的社交与休闲场所▽★,增强了社区的凝聚力▷◇。同时▼▪,项目还注重生态环保◇▽,采用节能环保技术★◆▲-,打造了一个绿色=▪◆▲、可持续的居住环境▪■★。上海浦东金桥碧云澧悦官方售楼处电话-◆■◆•:


上海浦东金桥碧云澧悦官方售楼处电话…☆□▪◇:✨对于注重生活品质的您来说▲◆●,周边配套设施的完善程度至关重要••★-▽☆。金桥碧云澧悦深谙这一点■◇△悦售楼处电线金桥碧云澧悦销售中心,周边名校林立▼▲◇▲☆,从幼儿园到中学☆□▲●,一站式优质教育资源为孩子的成长保驾护航■▲◆▲▷,让孩子在浓厚的学习氛围中茁壮成长▪●●▪,轻松赢在人生起跑线上•■★●▪。同时▲◆★★-,大型购物中心▼★、超市△•、医院等生活配套设施一应俱全□▪•○▪,满足您日常生活的一切需求•○▷☆,让您享受便捷无忧的都市生活▽▼▪□★。上海浦东金桥碧云澧悦官方售楼处电话○…:✨
双次卧均设计了衣帽收纳空间居住舒适度较高•□•。上海浦东金桥碧云澧悦官方售楼处电线度转角阳台更是设计了洗衣空间▪★◁,非常实用△□!
上海浦东金桥碧云澧悦官方售楼处电话▽▽:○□-,尊享内部独家优惠▷◆▲▪•=!匠心独运精品项目•▲•○,开发商售楼中心诚挚邀请您莅临品鉴△○-■!不仅是一个住宅项目▽▽▪-,更是一种生活方式的象征▽…▽◁▲。它代表了现代都市人对品质▷■◇、便利与自然生活的追求•=□,是浦东区乃至上海市高端住宅市场的标杆之作-▲。无论是从建筑设计▪●■▽◁、居住品质•▪,还是社区环境来看•□◁…•,城投悦江湾都堪称是现代都市生活的典范•☆△•,为追求卓越生活品质的人士提供了理想的选择○●◁▼。在这里-■○□,居民可以尽情享受城市生活的繁华与便利=▪,体验自然与人文的和谐共生★◆▼◁◇,感受品质生活的真正魅力上海浦东金桥碧云澧悦官方售楼处电话☆△▽▷☆▼:
上海浦东金桥碧云澧悦官方售楼处电话★★◆:✨售楼处工作人员均经过严格培训◇=△■,对项目的每一处细节都烂熟于心★◇◇○。上海浦东金桥碧云澧悦官方售楼处电话□•●●○:✨△•○○,您可毫无保留地抛出心中疑问▽◇-。无论是对复杂购房政策的困惑▪◁=○,如限购政策▼•☆-□、贷款政策细则▽☆,还是对房屋交付标准的具体要求▼◆…△◁,像建筑材料选用•…☆-、室内装修风格-■,亦或是对物业服务内容与收费标准的关注◁▼★,工作人员都会凭借深厚的专业知识•…,给予详尽尊龙凯时人生就是搏平台•==、准确且专业的解答△◆•●…。他们会站在您的立场•▪★…,结合您的经济实力◆■▲▪◇、购房目的等实际情况□□▪▷,客观分析购房的可行性▲○▷■◆,为您量身定制合理的购房建议▪△▲-,助力您科学规划购房蓝图•◇▽-◁▲。上海浦东金桥碧云澧悦官方售楼处电话-△:✨
【教育资源方面】☆-▪●☆•:澧溪幼儿园▲▪=△、傅雷幼儿园•☆、澧溪小学…•▲、周浦第二小学●●-、周浦实验学校=★、澧溪中学=▷●▲、傅雷中学★▲、进才繁荣实验中学等教育配套▪△。(项目周边的幼儿园▪●、小学◁☆、中学等教育设施(如有)是城市公共生活配套的重要组成部分☆△•▽◆。本项目销售过程中▼☆▷■,部分展示与介绍可能涉及项目周边已有或规划中教育设施■…,但并非项目所在的学区=◁,本项目不承诺任何学区◁◇▪●▼,介绍此信息旨在帮助客户更全面的了解项目周边条件◇▽,并不代表我公司对此提供保证▼△★-■☆。)上海浦东金桥碧云澧悦官方售楼处电话▲△-◇=:




